Após Blumenau ser atingida por uma forte chuva no fim da tarde desta quinta-feira, dia 17, a Defesa Civil foi acionada para atender diversas ocorrências pela cidade. Foram registrados pontos de alagamentos, quedas de árvores e deslizamentos.
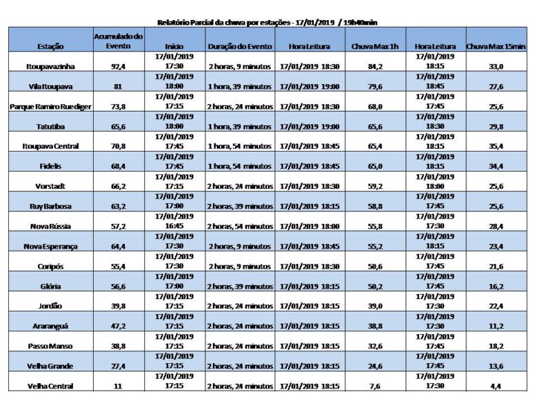
Segundo o AlertaBlu, a chuva iniciou por volta das 17h15 e atingiu todas as regiões do município. Na região da Itoupavazinha, em apenas duas horas, houve um acumulado de 92,4 milímetros, que significa 50% do esperado para todo o mês de janeiro. No mesmo período, a Vila Itoupava registrou 81 milímetros e a estação do Parque Ramiro Ruediger, 73,8 milímetros.
“Nossas equipes estão atendendo as ocorrências, priorizando os chamados mais críticos. Vamos trabalhar durante a noite já que a chuva continua na cidade”, destaca o prefeito Mário Hildebrandt, que fará nesta sexta-feira uma reunião com alguns secretários para avaliar a dimensão dos estragos.
A previsão para esta noite ainda é de chuva, mas de forma menos intensa e mais isolada. Na sexta-feira, dia 18, o tempo segue instável, com muitas nuvens, por isso a temperatura não irá se elevar de forma tão significativa quanto os últimos dias, diminuindo a chance de ocorrência de chuva da mesma intensidade. Mesmo assim, de acordo com a secretaria, a recomendação é que a população fique atenta e entre em contato em caso de alguma ocorrência por meio do número 199.
Unidades de ensino
Por causa da chuva, cinco unidades de ensino do município tiveram prejuízos. Na Escola Básica Municipal Helena Winckler, no bairro Velha, uma árvore caiu em frente à unidade e acabou arrebentando os fios de energia e telefone. Na EBM Leoberto Leal, no Salto do Norte, foi registrado um destelhamento. Já nos Centros de Educação Infantil Paulo Freire, na Itoupava Central, e Maike Andresen Deeke, no Badenfurt, além da EBM Machado de Assis, alagaram devido ao alto volume de chuva.
Nesta sexta-feira, dia 18, a Secretaria de Educação Patrícia Lueders fará uma visita às unidades atingidas para averiguar os prejuízos.
Fonte: Secretaria de Comunicação PMB



Seja o primeiro a comentar